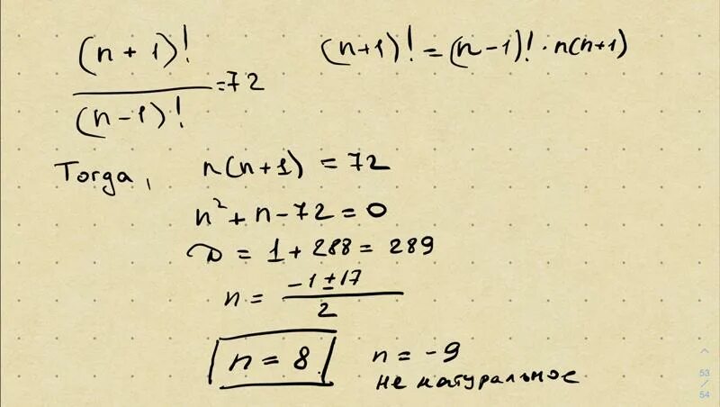
Найти последовательность удовлетворяющую условиям