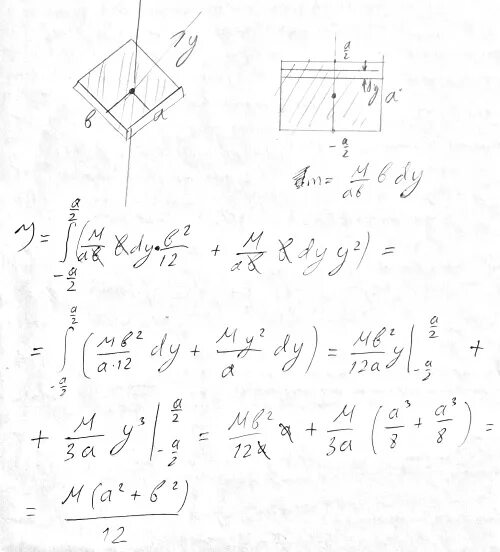
Найти момент инерции прямоугольной пластины