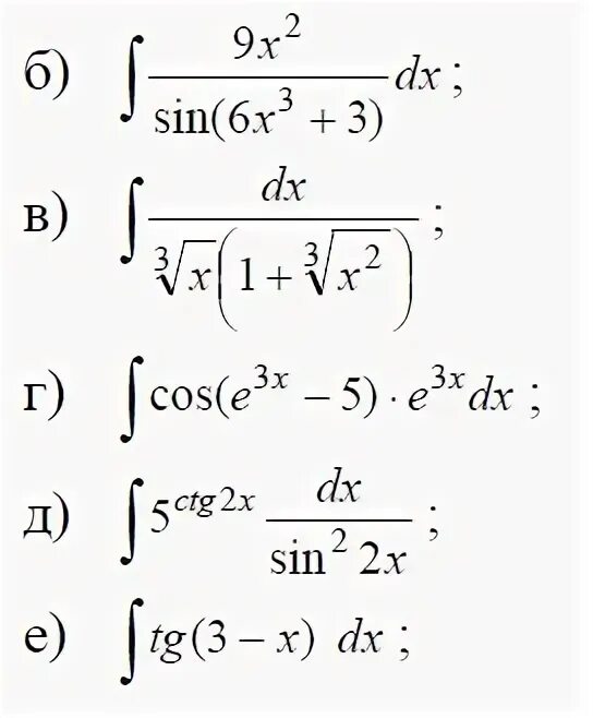
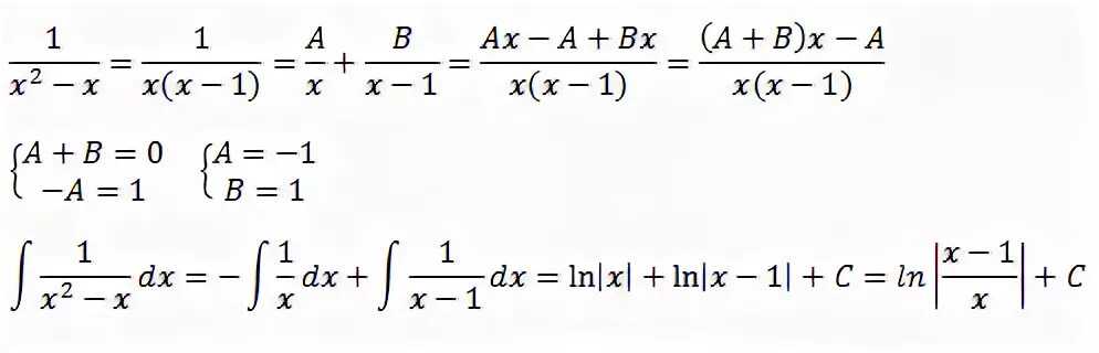
Найти интеграл 1 х 2