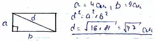
Найти длину диагонали прямоугольного