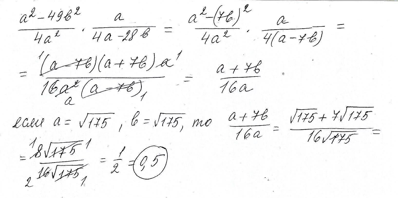
Найдите значения выражения 2a