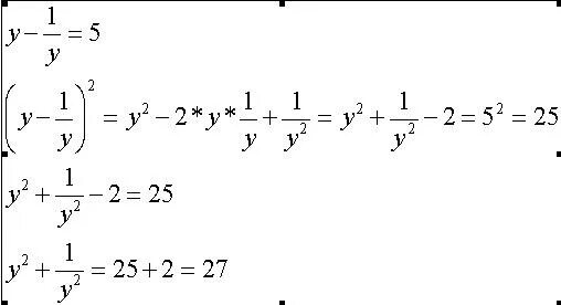
Найдите значение выражения у 2 2у 1