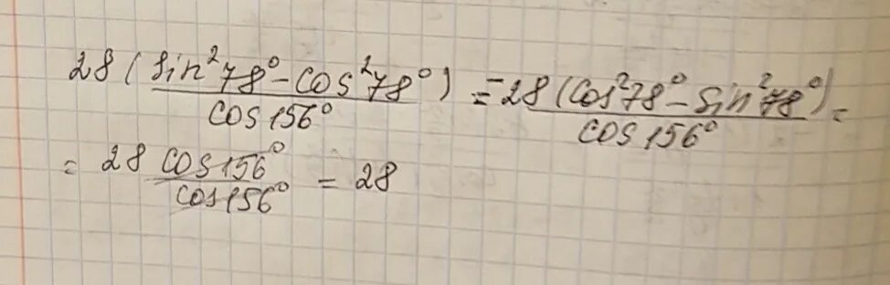
Найдите значение выражения sin2