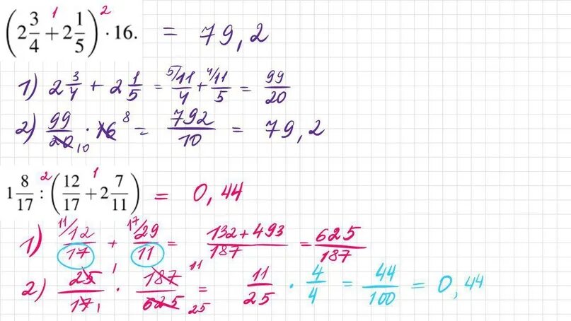
Найдите значение выражения огэ 6