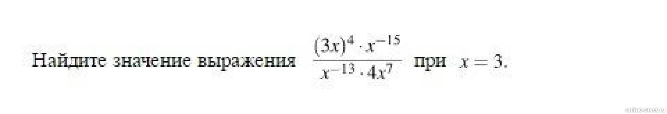
Найдите значение выражения 3 11 15