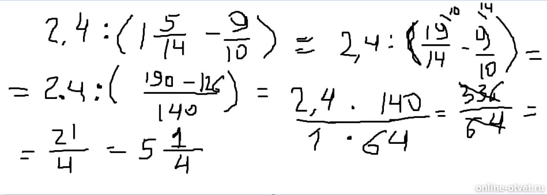
Найдите значение выражения 2 21 5 14