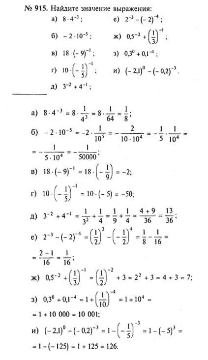
Найдите значение выражения 0 005 50 50000