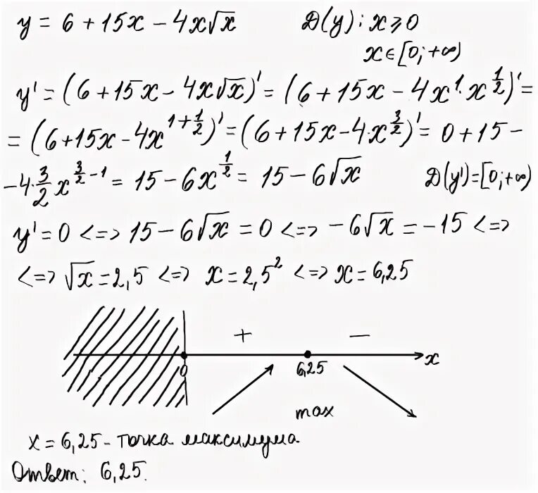
Найдите точку максимума функции log2