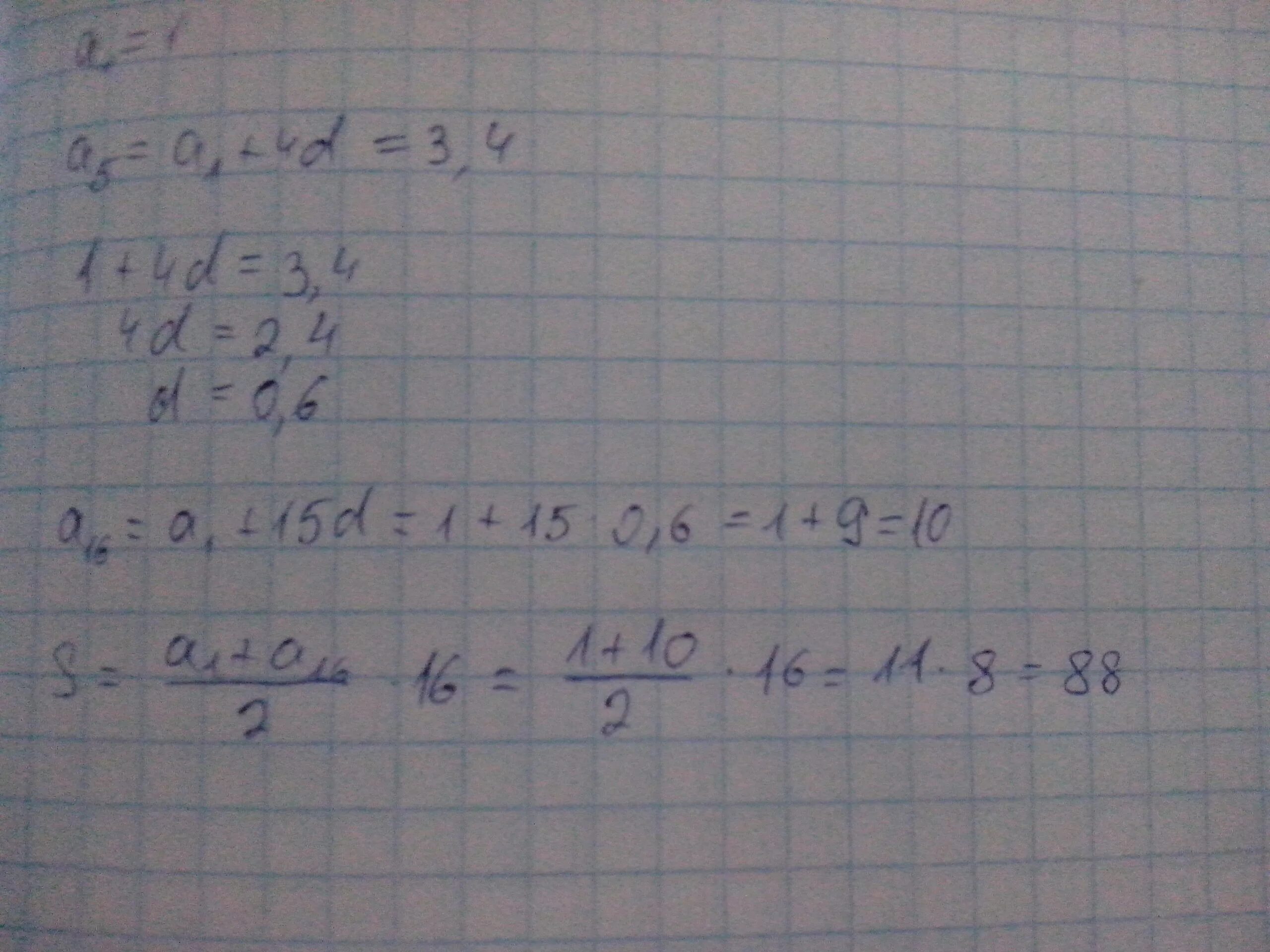
Найдите сумму 16 первых чисел арифметической прогрессии