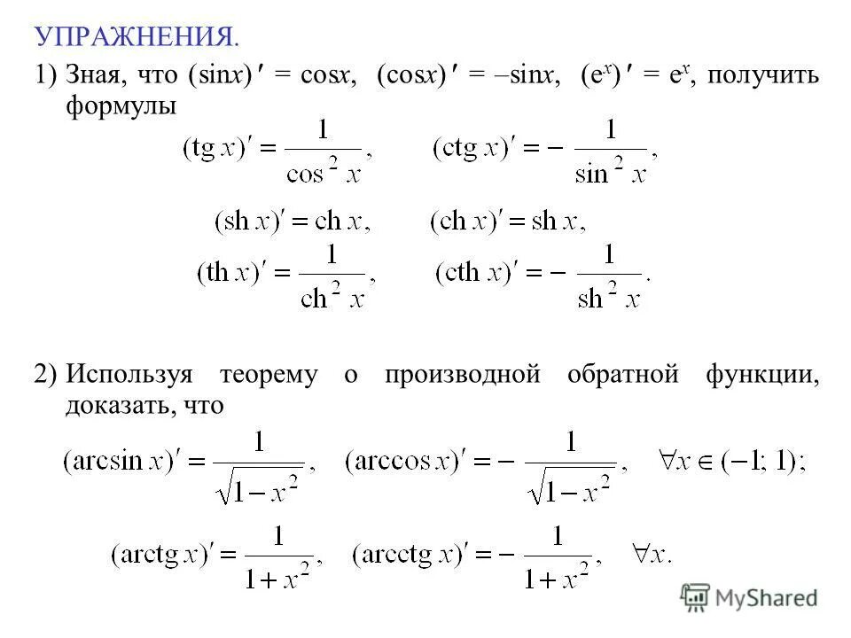
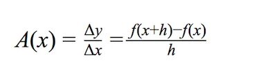
Найдите скорость изменения функции y