Главная
»
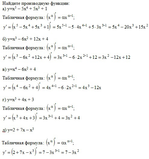
Найдите производную функцию y x4
Найдите производную функцию y x4. Найдите производную функцию y x4
« Предыдущее
25 / 49
Следующее »