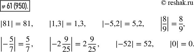
Найдите модуль каждого из чисел минус 1