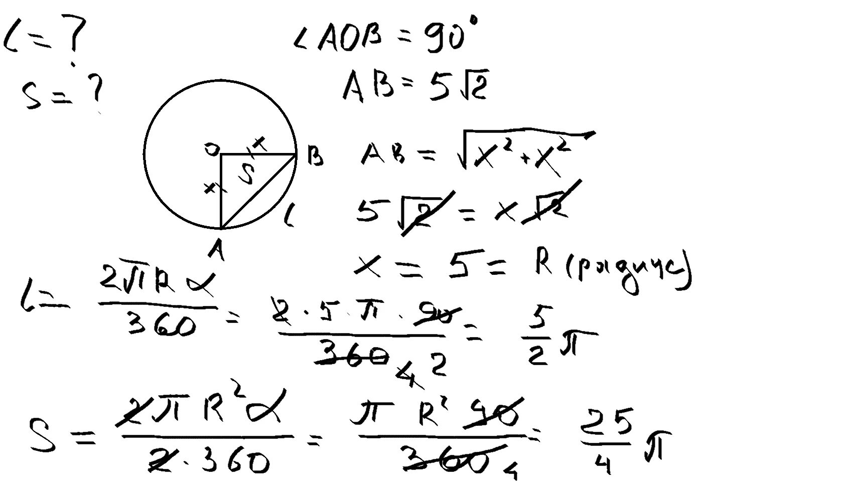
Найдите длину дуги составляющей 5