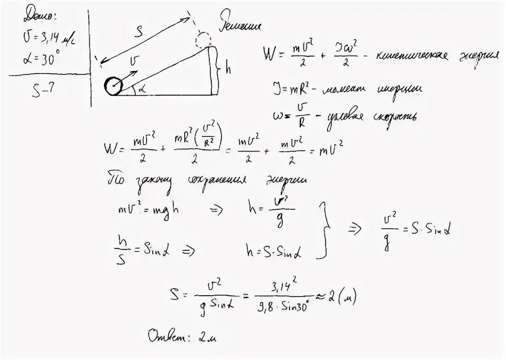
На расстоянии 30 см