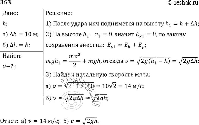
Мяч массой 100 грамм подброшен с поверхности