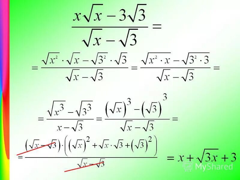
Можно ли сократить квадраты