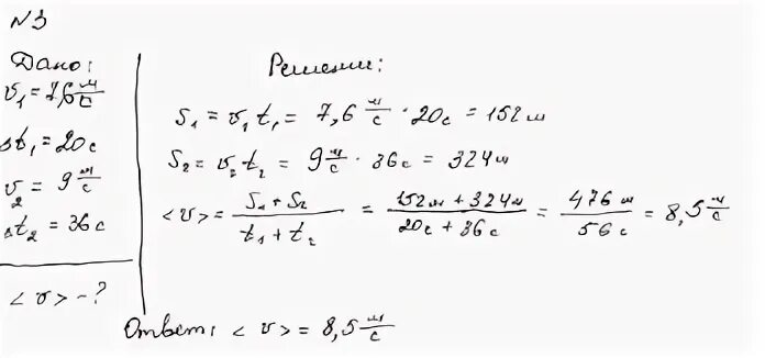
Мотоцикл двигавшийся со скоростью 27 км ч