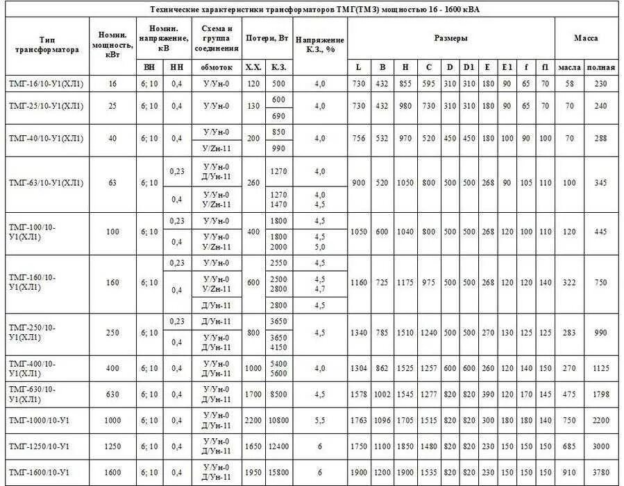
Мощность трансформатора напряжения 10 кв