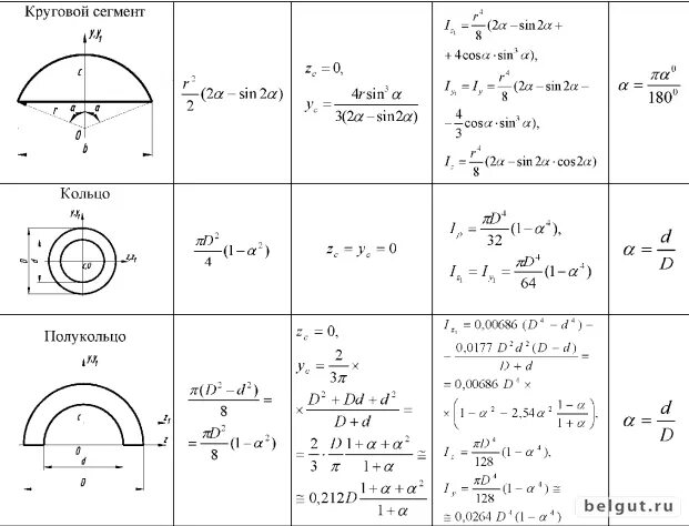
Момент инерции круга формула