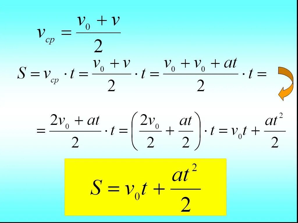
Модуль перемещения при равноускоренном движении формула