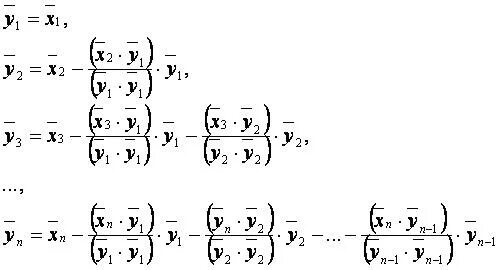
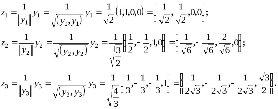
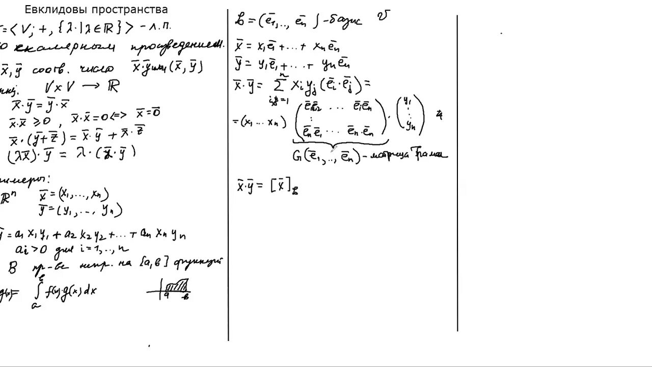
Метод ортогонализации грамма шмидта