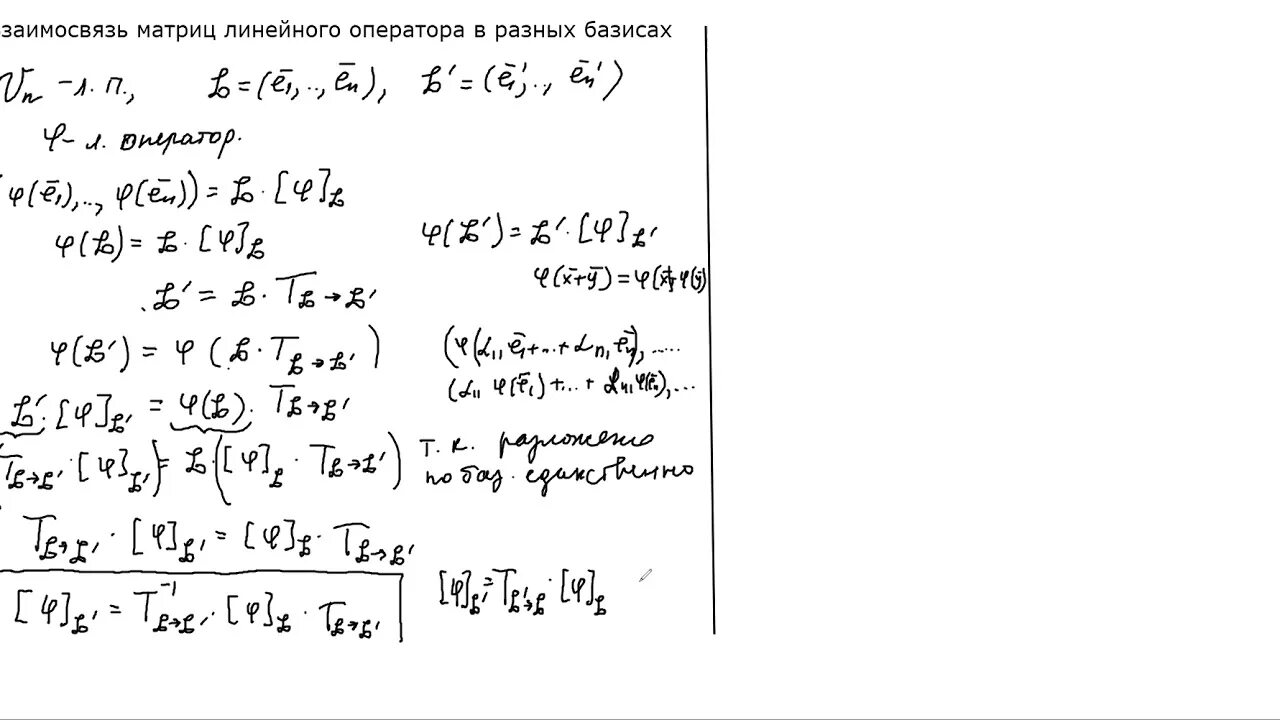
Матрица оператора в собственном базисе