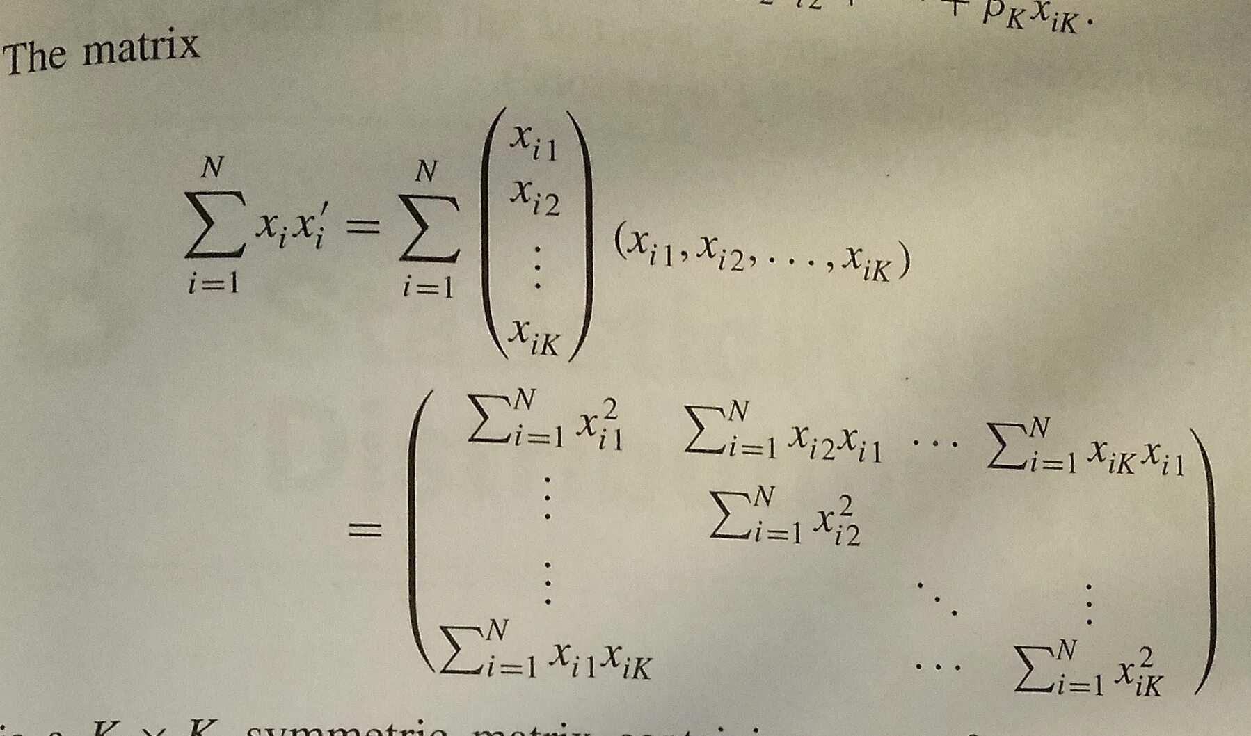
Mathematica матрицы