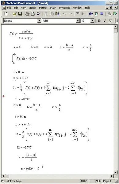
Mathcad формулы