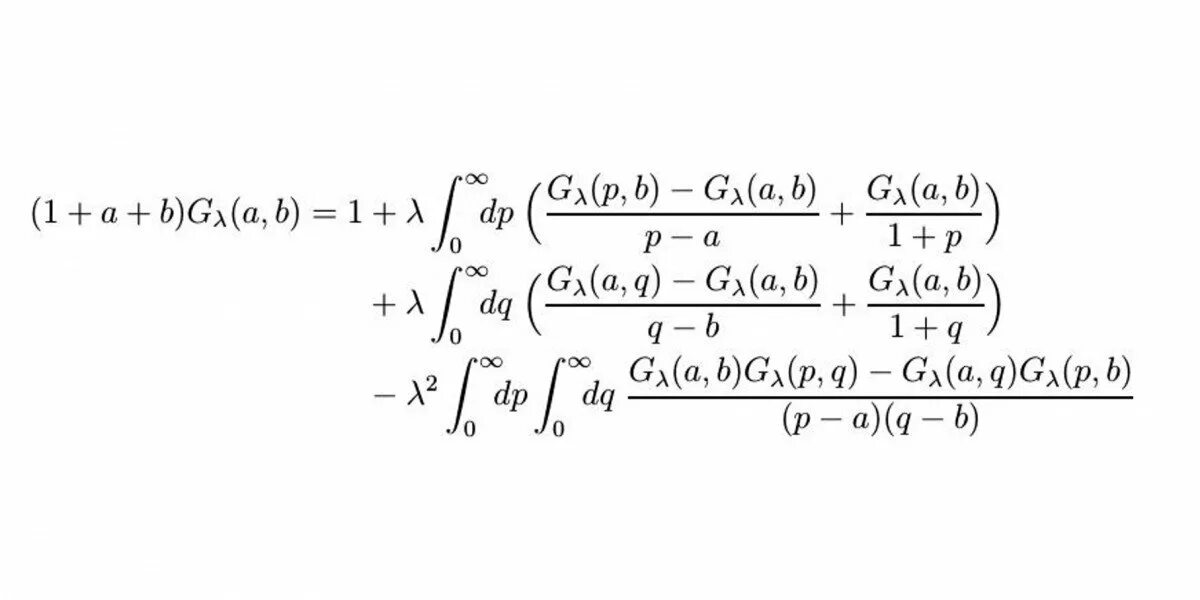
Math question