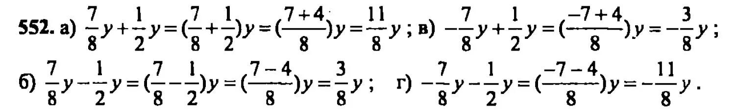
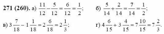
Математика 6 класс упражнение 4.143