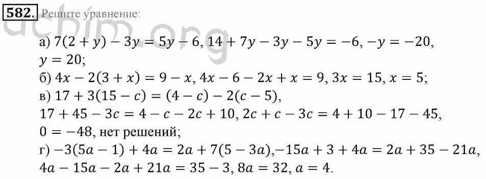
Математика 6 класс тема решение уравнения