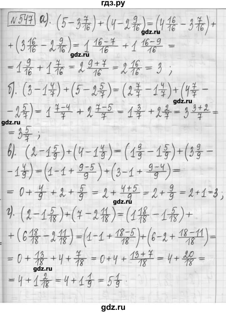
Математика 5 класс упражнение 547