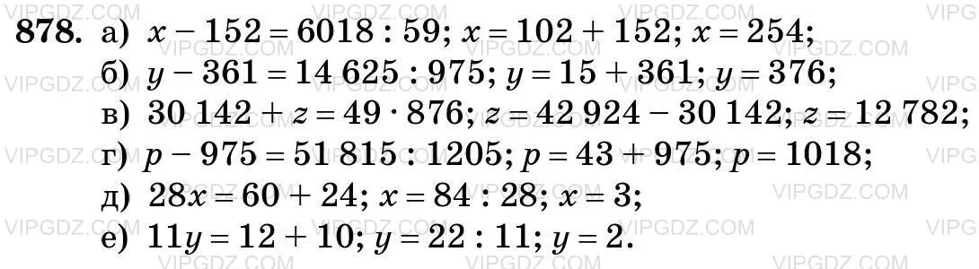
Математика 5 класс 134