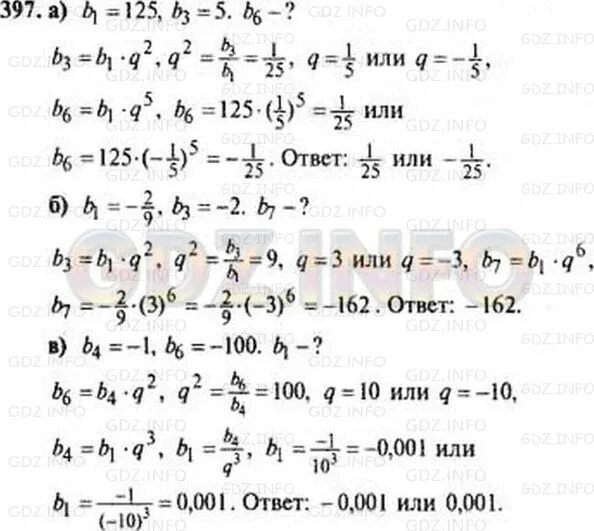
Макарычев 9 класс 397