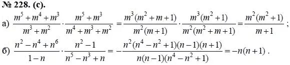
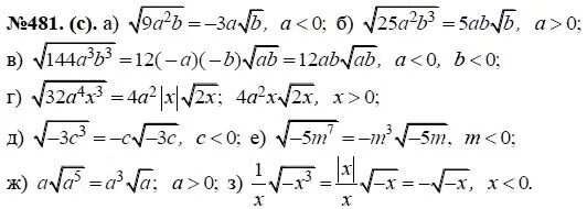
Макарычев 8 класс 895