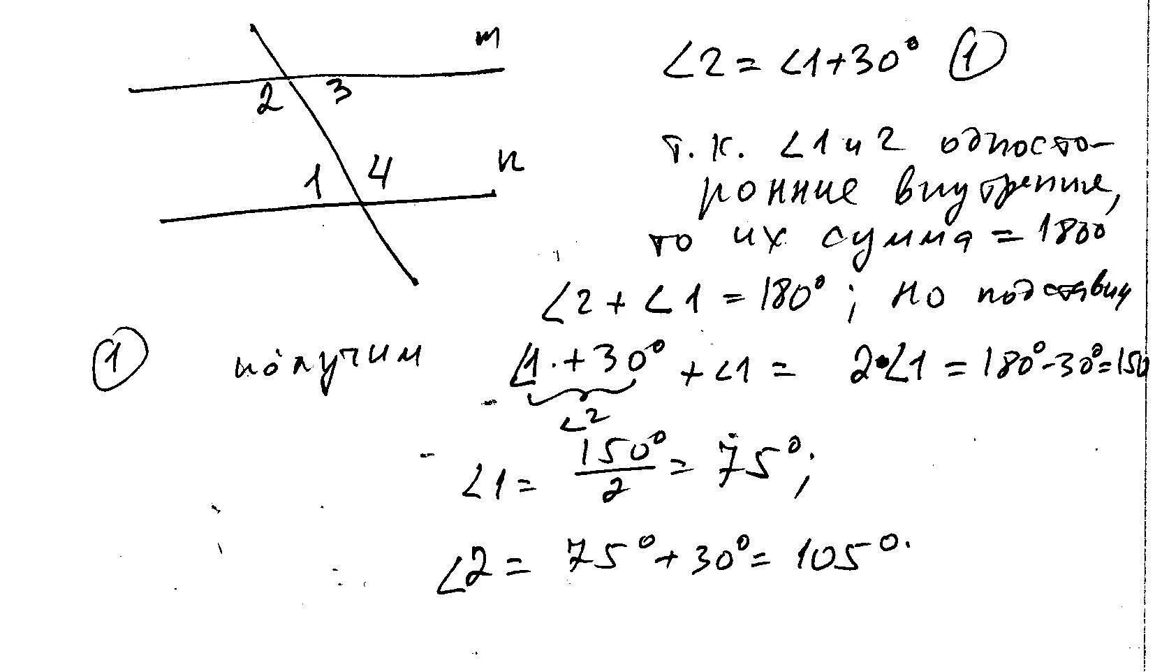
M параллельна n больше угол 2