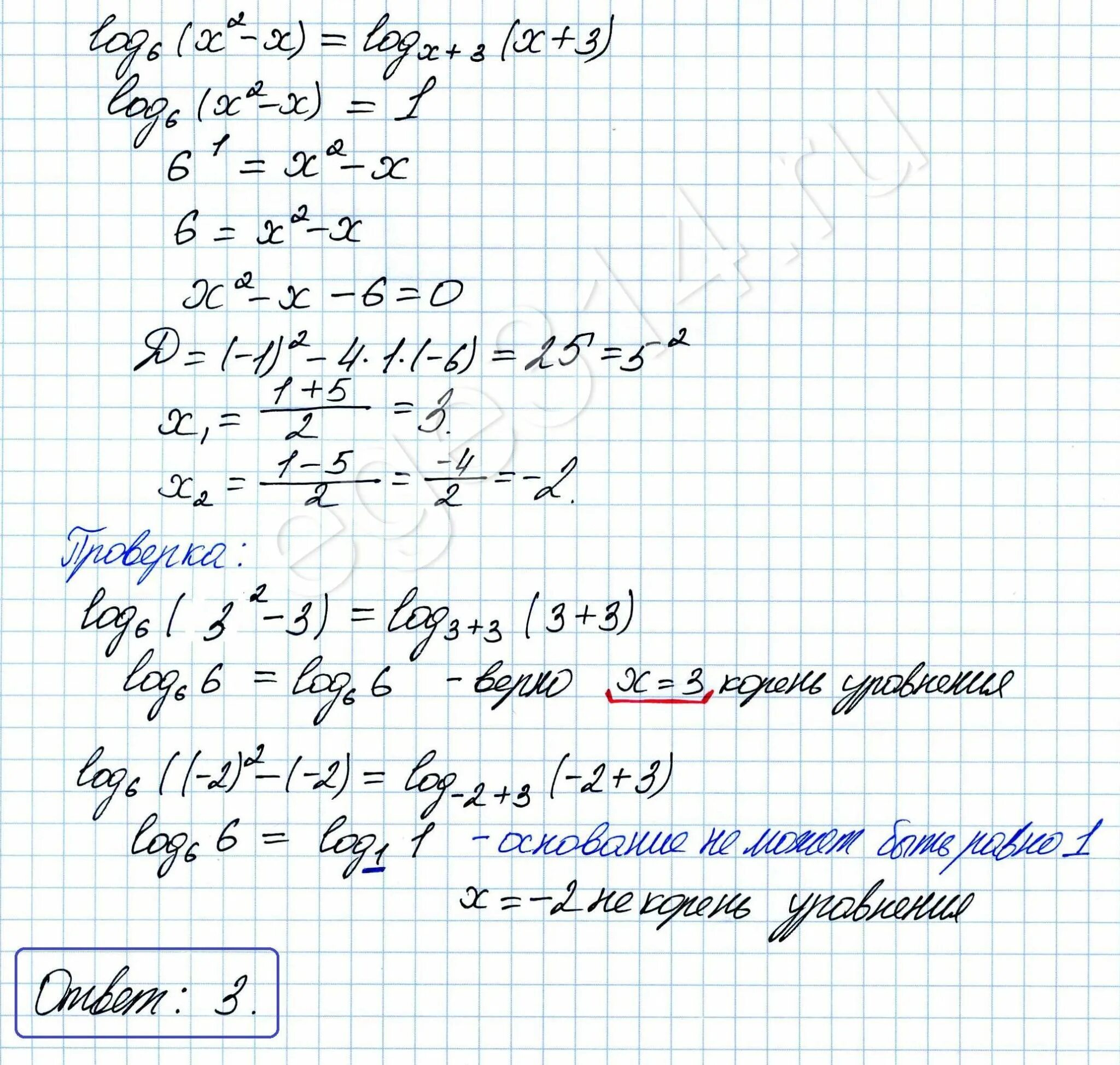
Logx x 3 logx 9 x