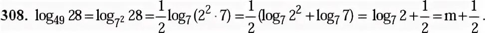
Log2 7 log7