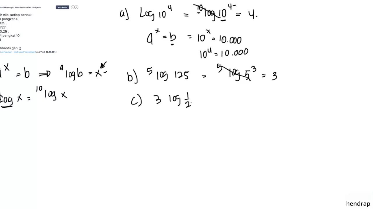
Log x 2 27