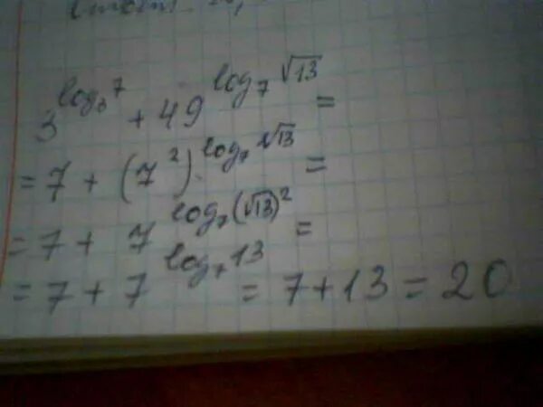
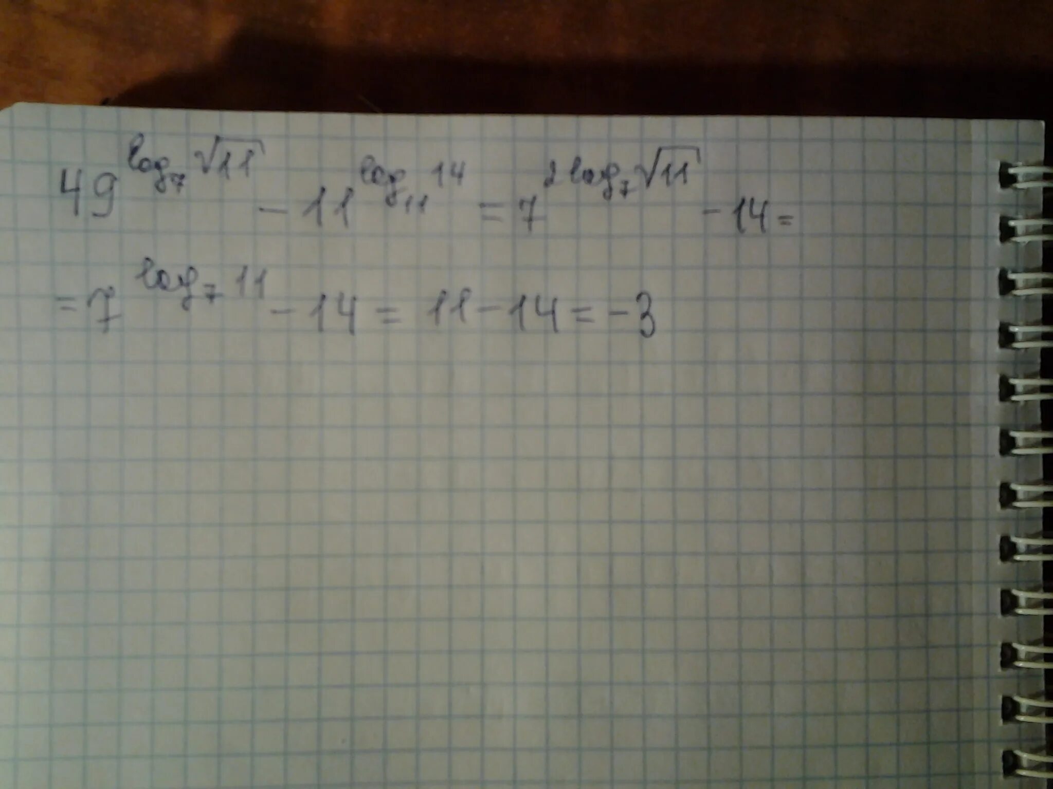
Log корень 7