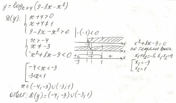
Log корень 5 x 0