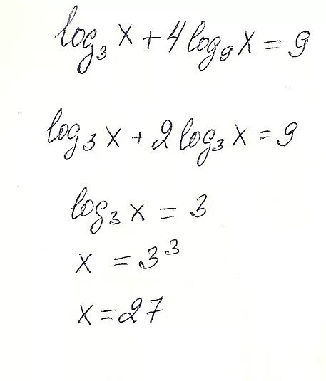
Лог х х 4