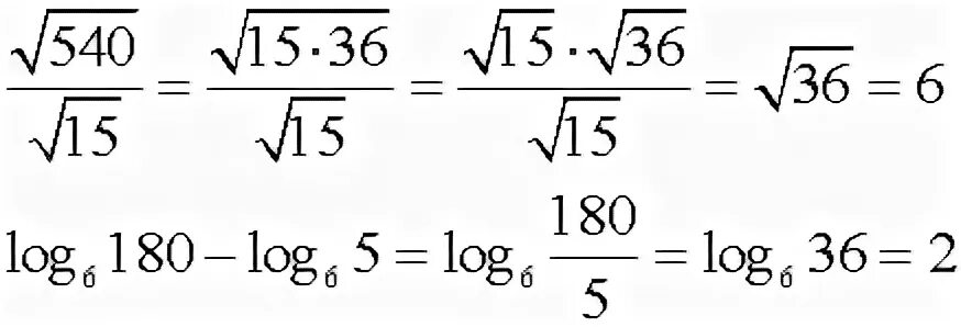
Log 36