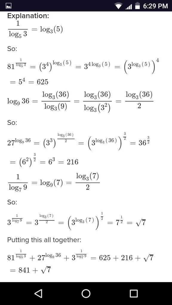
Log 3 27 log 9 81