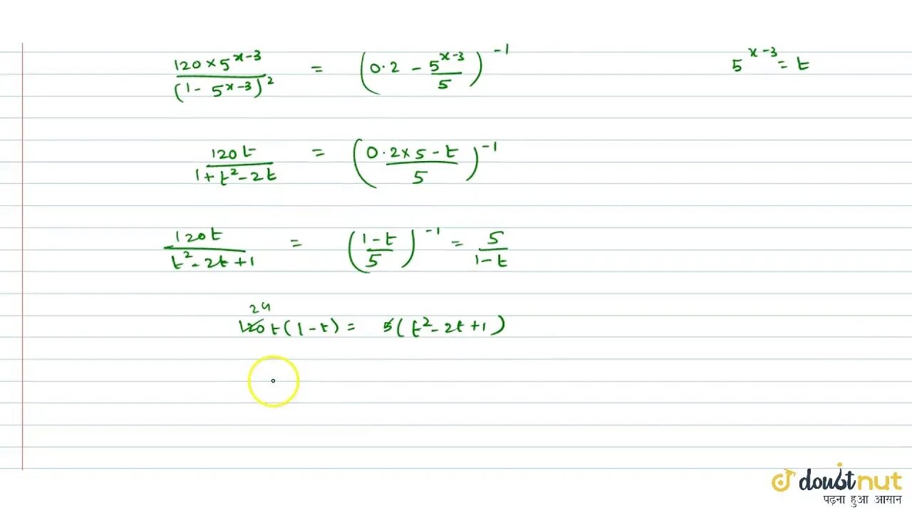
Log 3 15 4 x