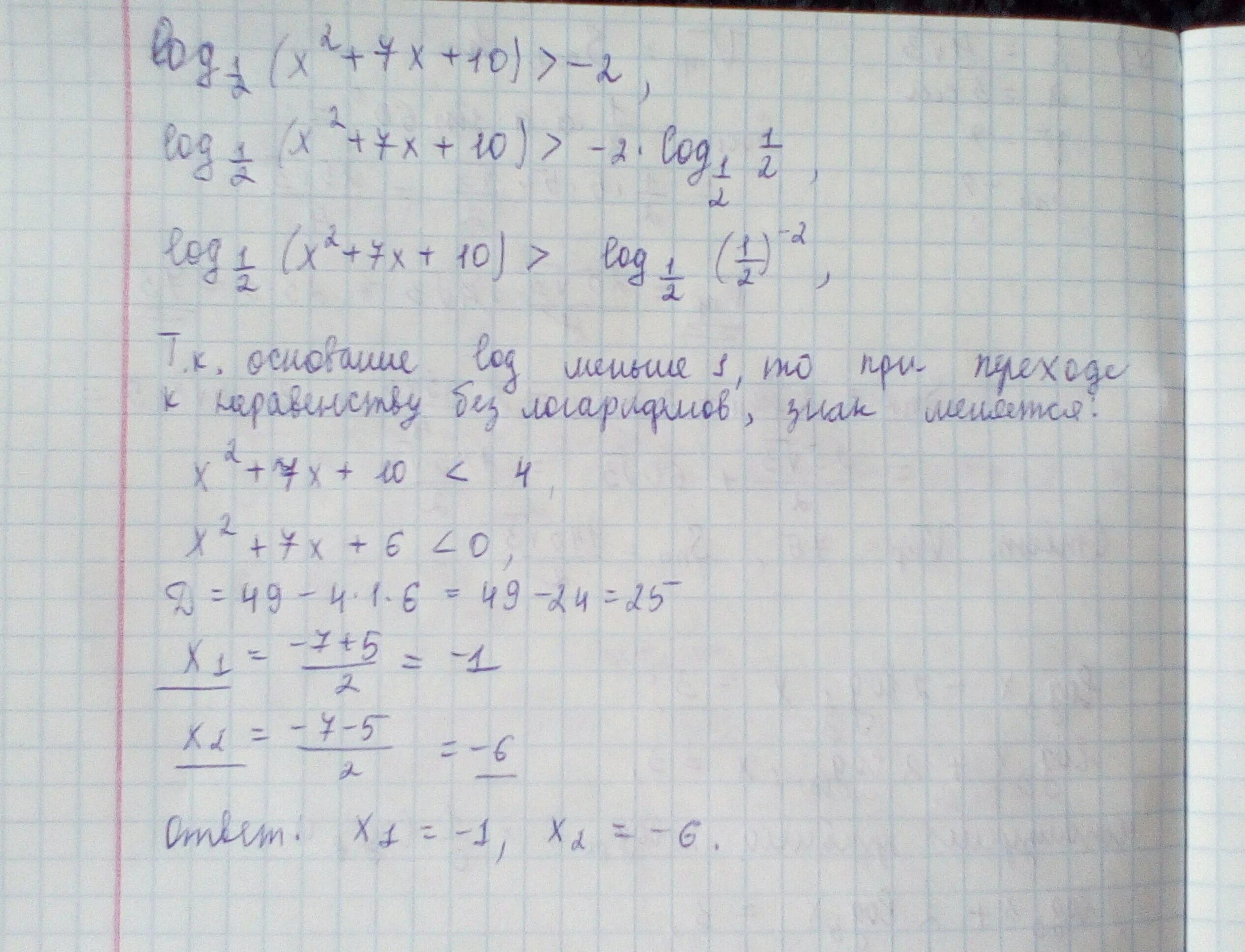
Log 0 7 x 5