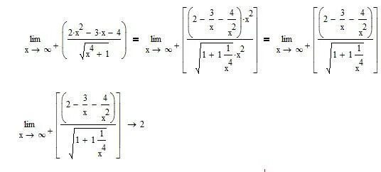
Lim 2x2 3x 4