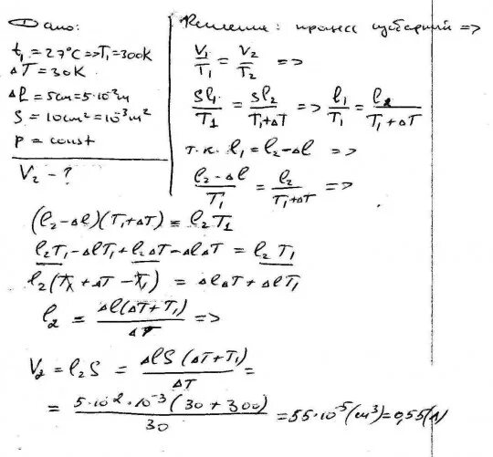
L в физике