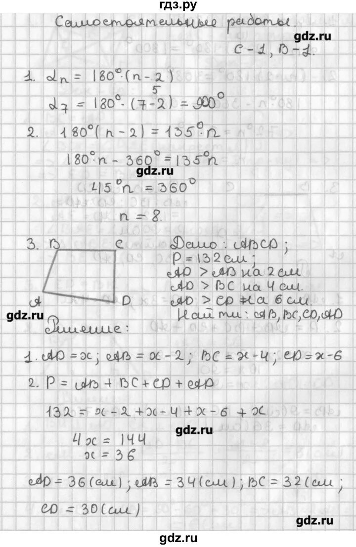
Кр атанасян 8