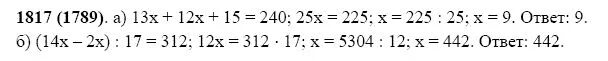
Корнем уравнения 13x 1